Il y a 475 produits
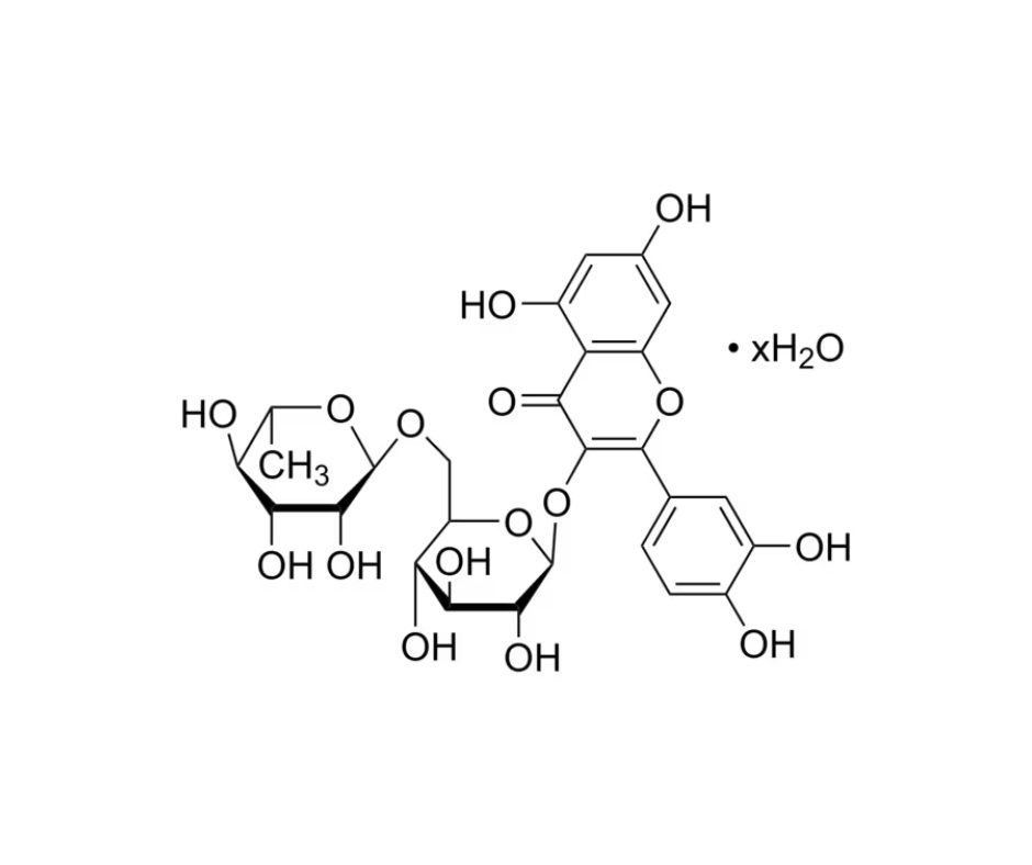
image de la molécule (+)-Cinchonine
Numéro CAS : 118-10-5

(+)-Cinchonine

Cinchonine monohydrochloride dihydrate

image de la molécule (+)-Sodium L-ascorbate
Numéro CAS : 134-03-2

(+)-Sodium L-ascorbate

L(+)-Ascorbic acid sodium salt; Vitamin C sodium salt

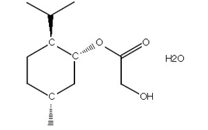
image de la molécule (1R)-(-)-Menthyl glyoxylate hydrate
Numéro CAS : 26315-61-7

(1R)-(-)-Menthyl glyoxylate hydrate

(1R,2S,5R)-2-isopropyl-5-methylcyclohexyl hydroxyacetate hydrate

image de la molécule (1R)-(−)-Myrtenol
Numéro CAS : 19894-97-4

(1R)-(−)-Myrtenol

(1R)-2-Pinen-10-ol; (1R)-6,6-Dimethylbicyclo[3.1.1]hept-2-ene-2-methanol

image de la molécule (S)-(−)-1-Methyl-2-pyrrolidinemethanol
Numéro CAS : 34381-71-0

(S)-(−)-1-Methyl-2-pyrrolidinemethanol

N-Methyl-L-prolinol; (S)-2-Hydroxymethyl-1-methylpyrrolidine

image de la molécule (−)-Borneol
Numéro CAS : 464-45-9

(−)-Borneol

endo-(1S)-1,7,7-Trimethylbicyclo[2.2.1]heptan-2-ol

image de la molécule (−)-Ethyl L-lactate
Numéro CAS : 687-47-8

(−)-Ethyl L-lactate

(−)-Ethyl (S)-2-hydroxypropionate; (S)-(−)-2-Hydroxypropionic acid ethyl ester; L-Lactic acid ethyl ester

image de la molécule (−)-Menthol
Numéro CAS : 2216-51-5

(−)-Menthol

5-méthyl-2-(1-méthyléthyl)cyclohexanol

image de la molécule 1,3-Propanediol
Numéro CAS : 504-63-2

1,3-Propanediol

1,3-Dihydroxypropane; Bio-PDO; PG; Trimethylene glycol

image de la molécule 1-Hexacosanol
Numéro CAS : 506-52-5

1-Hexacosanol

Ceryl alcohol; Hexacosyl alcohol

image de la molécule 1-Hexadecanol
Numéro CAS : 36653-82-4

1-Hexadecanol

Cetyl alcohol; Palmityl alcohol

image de la molécule 1-Naphthol
Numéro CAS : 90-15-3

1-Naphthol

α-Naphthol; 1-Hydroxynaphthalene

image de la molécule 1-Octadecanol
Numéro CAS : 112-92-5

1-Octadecanol

Octadecyl alcohol; Stearyl alcohol

image de la molécule 2,3-Dihydroxybenzoic acid
Numéro CAS : 303-38-8

2,3-Dihydroxybenzoic acid

Hypogallic acid; Pyrocatechuic acid

image de la molécule 2,6-Di-tert-butyl-4-methylphenol
Numéro CAS : 128-37-0

2,6-Di-tert-butyl-4-methylphenol

Butylhydroxytoluène; Hydroxytoluène butylé

image de la molécule 2,6-Diisopropylphenol
Numéro CAS : 2078-54-8

2,6-Diisopropylphenol

Propofol; 2,6-Bis(1-methylethyl)phenol; 2,6-Bis(isopropyl)phenol

image de la molécule 2-Amino-2-(hydroxyméthyl)-1,3-propanediol
Numéro CAS : 77-86-1

2-Amino-2-(hydroxyméthyl)-1,3-propanediol

Trizma® base; Tris(hydroxyméthyl)aminométhane; Trométamol

image de la molécule 2-Hydroxy-6-methylpyridine
Numéro CAS : 3279-76-3

2-Hydroxy-6-methylpyridine

6-Methyl-2-pyridinol; 6-Methyl-2-pyridone

image de la molécule 2-mercaptoéthanol
Numéro CAS : 60-24-2

2-mercaptoéthanol

2-hydroxyéthylmercaptan; Thioéthylèneglycol

image de la molécule 2-methyl-1,3-propanediol
Numéro CAS : 2163-42-0

2-methyl-1,3-propanediol

1,3-Dihydroxy-2-methylpropane; 2-Methylpropan-1,3-diol; Methylpropanediol

image de la molécule 2-Methyl-2-butanol
Numéro CAS : 75-85-4

2-Methyl-2-butanol

tert-Amyl alcohol; tert-Pentyl alcohol

image de la molécule 2-Naphthol
Numéro CAS : 135-19-3

2-Naphthol

β-Naphthol; 2-Hydroxynaphthalene

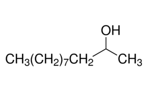
image de la molécule 2-Octanol
Numéro CAS : 123-96-6

2-Octanol

sec-Caprylic alcohol; Capryl alcohol; Ethyl-N-amylcarbinol; Ethylpentylcarbinol

image de la molécule 2-Phenyl-1-propanol
Numéro CAS : 1123-85-9

2-Phenyl-1-propanol

(±)-2-Phenyl-1-propanol; β-Methylphenethyl alcohol

image de la molécule 2-Propanol
Numéro CAS : 67-63-0

2-Propanol

Isopropanol; sec-Propyl alcohol; Isopropyl alcohol; IPA

image de la molécule 3,4-Dimethoxybenzyl alcohol
Numéro CAS : 93-03-8

3,4-Dimethoxybenzyl alcohol

(3,4-Dimethoxyphenyl)methanol; Veratryl alcohol

image de la molécule 3-Methyl-1-butanol
Numéro CAS : 123-51-3

3-Methyl-1-butanol

Isoamyl alcohol; Isopentyl alcohol

image de la molécule 3-Phenyl-1-propanol
Numéro CAS : 122-97-4

3-Phenyl-1-propanol

3-Phenylpropyl alcohol; Hydrocinnamyl alcohol

image de la molécule 4-(Benzyloxy)phenol
Numéro CAS : 103-16-2

4-(Benzyloxy)phenol

4-(Phenylmethoxy)phenol; Hydroquinone monobenzyl ether

image de la molécule 4-Acétaminophène
Numéro CAS : 103-90-2

4-Acétaminophène

4′-Hydroxyacétanilide; N-Acétyl-4-aminophénol; N-(4-Hydroxyphényl)acétamide; Paracétamol

image de la molécule 4-Benzylphenol
Numéro CAS : 101-53-1

4-Benzylphenol

α-Phenyl-p-cresol; 4-Hydroxydiphenylmethane

image de la molécule 5-Methyl-2-nitrophenol
Numéro CAS : 700-38-9

5-Methyl-2-nitrophenol

3-Hydroxy-4-nitrotoluene; 6-Nitro-m-cresol

image de la molécule Acetovanillone
Numéro CAS : 498-02-2

Acetovanillone

4′-Hydroxy-3′-methoxyacetophenone; Apocynin

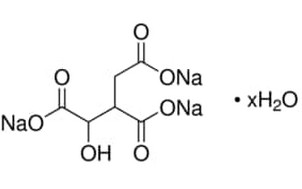
image de la molécule Ammonium citrate dibasic
Numéro CAS : 3012-65-5

Ammonium citrate dibasic

Ammonium hydrogencitrate; Citric acid ammonium salt; Diammonium hydrogen citrate

image de la molécule Butan-1-ol
Numéro CAS : 71-36-3

Butan-1-ol

n-butanol; Alcool butylique

image de la molécule Butyl 4-hydroxybenzoate
Numéro CAS : 94-26-8

Butyl 4-hydroxybenzoate

p-Hydroxybenzoic acid n-butyl ester; Butyl paraben

image de la molécule Calconcarboxylic acid
Numéro CAS : 3737-95-9

Calconcarboxylic acid

2-Hydroxy-1-(2-hydroxy-4-sulfo-1-naphthylazo)-3-naphthoic acid; 3-Hydroxy-4-(2-hydroxy-4-sulfo-1-naphthylazo)naphthalene-2-carboxylic acid

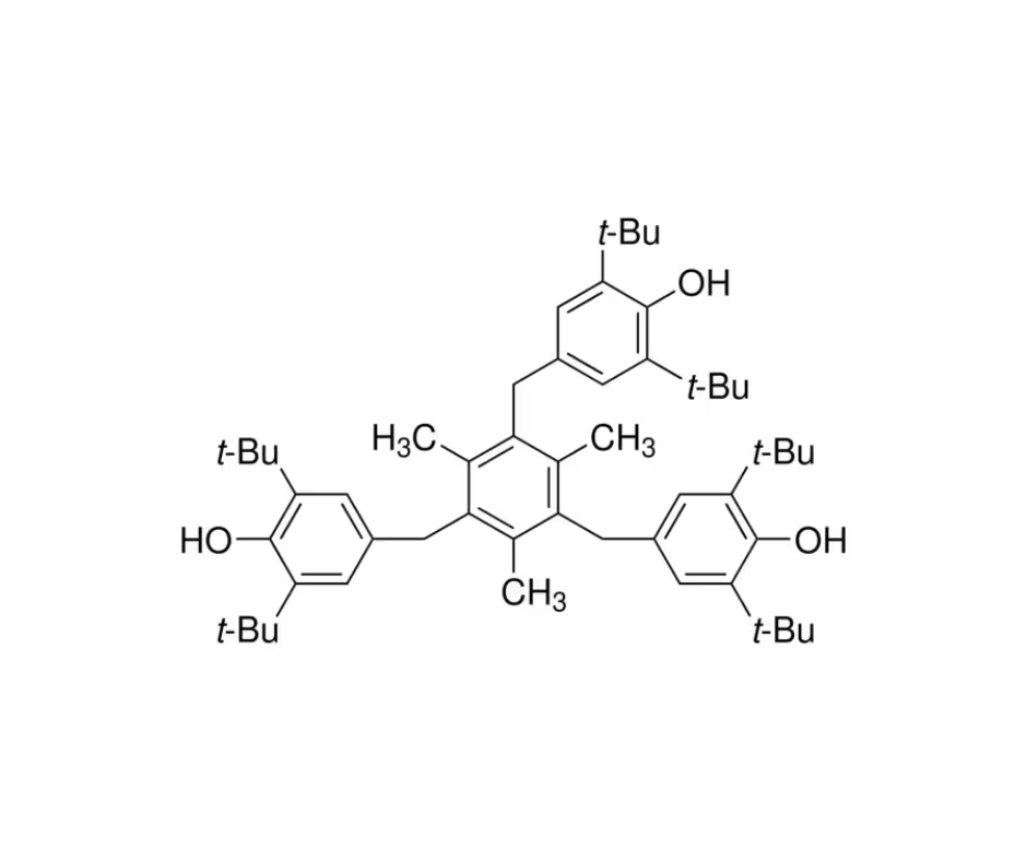
image de la molécule Calix4arene
Numéro CAS : 74568-07-3

Calix4arene

Calix4arene-25,26,27,28-tetrol

image de la molécule Chloral hydrate
Numéro CAS : 302-17-0

Chloral hydrate

Trichloroacetaldehyde hydrate

image de la molécule Chlorhydrate de Trizma®
Numéro CAS : 1185-53-1

Chlorhydrate de Trizma®

Chlorhydrate de trométhane; TRIS hydrochloride; Tris(hydroxyméthyl)aminométhane hydrochloride

image de la molécule cis-4-Hydroxy-D-proline
Numéro CAS : 2584-71-6

cis-4-Hydroxy-D-proline

(2R,4R)-(+)-4-Hydroxy-2-pyrrolidinecarboxylic acid; D-allo-Hydroxyproline

image de la molécule D-(+)-chiro-Inositol
Numéro CAS : 643-12-9

D-(+)-chiro-Inositol

1,2,4/3,5,6-Hexahydroxycyclohexane

image de la molécule D-(+)-Malic acid
Numéro CAS : 636-61-3

D-(+)-Malic acid

(R)-(+)-2-Hydroxysuccinic acid; D-Hydroxybutanedioic acid

image de la molécule D-(−)-Tartaric acid
Numéro CAS : 147-71-7

D-(−)-Tartaric acid

(2S,3S)-(−)-Tartaric acid; D-Threaric acid

image de la molécule D-Tyrosine
Numéro CAS : 556-02-5

D-Tyrosine

(R)-2-Amino-3-(4-hydroxyphenyl)propionic acid; 3-(4-Hydroxyphenyl)-D-alanine

image de la molécule DL-Tartaric acid
Numéro CAS : 133-37-9

DL-Tartaric acid

DL-2,3-Dihydroxybutanedioic acid

image de la molécule Ethanolamine
Numéro CAS : 141-43-5

Ethanolamine

2-Aminoéthanol; Alcool 2-aminoéthylique

image de la molécule Gallic acid
Numéro CAS : 149-91-7

Gallic acid

3,4,5-Trihydroxybenzoic acid

image de la molécule Gallic acid monohydrate
Numéro CAS : 5995-86-8

Gallic acid monohydrate

3,4,5-Trihydroxybenzoic acid monohydrate

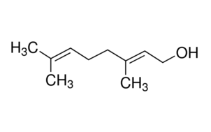
image de la molécule Geraniol
Numéro CAS : 106-24-1

Geraniol

trans-3,7-Dimethyl-2,6-octadien-1-ol

image de la molécule Glycerol
Numéro CAS : 56-81-5

Glycerol

1,2,3-Propanetriol; Glycerin

image de la molécule Hydroquinone
Numéro CAS : 123-31-9

Hydroquinone

1,4-benzènediol; 1,4-dihydroxybenzène

image de la molécule Isoeugenol
Numéro CAS : 97-54-1

Isoeugenol

2-Methoxy-4-propenylphenol

image de la molécule L-(−)-Malic acid
Numéro CAS : 97-67-6

L-(−)-Malic acid

(S)-(−)-2-Hydroxysuccinic acid; L-Hydroxybutanedioic acid

image de la molécule Maltol
Numéro CAS : 118-71-8

Maltol

3-Hydroxy-2-methyl-4-pyrone; 3-Hydroxy-2-methyl-4H-pyran-4-one; Larixinic acid

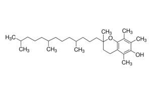
image de la molécule Menthol
Numéro CAS : 89-78-1

Menthol

2-Isopropyl-5-methylcyclohexanol; Hexahydrothymol

image de la molécule Methyl salicylate
Numéro CAS : 119-36-8

Methyl salicylate

Essence de gaulthéria; Ester méthylique d’acide 2-hydroxybenzoïque

image de la molécule myo-Inositol
Numéro CAS : 87-89-8

myo-Inositol

1,2,3,4,5,6-Hexahydroxycyclohexane; meso-Inositol

image de la molécule N-Méthyle-D-glucamine
Numéro CAS : 6284-40-8

N-Méthyle-D-glucamine

1-Désoxy-1-(méthylamino)-D-glucitol; Méglumine

image de la molécule Pamoic acid disodium salt
Numéro CAS : 6640-22-8

Pamoic acid disodium salt

4,4′-Methylenebis(3-hydroxy-2-naphthoic acid); Embonic acid; Sodium pamoate

image de la molécule Piperonyl alcohol
Numéro CAS : 495-76-1

Piperonyl alcohol

3,4-(Methylenedioxy)benzyl alcohol; 3,4-(Methylenedioxy)phenylmethanol; 1,3-Benzodioxole-5-methanol

image de la molécule Propyl gallate
Numéro CAS : 121-79-9

Propyl gallate

3,4,5-Trihydroxybenzoic acid propyl ester

image de la molécule Sodium gluconate
Numéro CAS : 527-07-1

Sodium gluconate

D-Gluconic acid sodium salt; 2,3,4,5,6-Pentahydroxycaproic acid sodium salt; D-Gluconate sodium salt; Sodium D-gluconate

image de la molécule Sodium tert-pentoxide
Numéro CAS : 14593-46-5

Sodium tert-pentoxide

Sodium tert-amoxide; tert-Amyl alcohol sodium salt

image de la molécule Thymol
Numéro CAS : 89-83-8

Thymol

5-Methyl-2-isopropylphenol; 2-Isopropyl-5-methylphenol; 5-Methyl-2-(1-methylethyl)phenol

image de la molécule trans-1,2-Cyclohexanediol
Numéro CAS : 1460-57-7

trans-1,2-Cyclohexanediol

1,2-trans -Dihydroxycyclohexane; 1,2-trans -Cyclohexanediol; trans -2-Hydroxycyclohexanol

image de la molécule Triéthanolamine
Numéro CAS : 102-71-6

Triéthanolamine

2,2′,2′′-nitrilotriéthanol; Tris(2-hydroxyéthyl)amine